This article describes the formula syntax and usage of the KURTÂ function in Microsoft Excel.
Description
Returns the kurtosis of a data set. Kurtosis characterizes the relative peakedness or flatness of a distribution compared with the normal distribution. Positive kurtosis indicates a relatively peaked distribution. Negative kurtosis indicates a relatively flat distribution.
Syntax
KURT(number1, [number2], ...)
The KURT function syntax has the following arguments:
-
Number1, number2, ...    Number1 is required, subsequent numbers are optional. 1 to 255 arguments for which you want to calculate kurtosis. You can also use a single array or a reference to an array instead of arguments separated by commas.
Remarks
-
Arguments can either be numbers or names, arrays, or references that contain numbers.
-
Logical values and text representations of numbers that you type directly into the list of arguments are counted.
-
If an array or reference argument contains text, logical values, or empty cells, those values are ignored; however, cells with the value zero are included.
-
Arguments that are error values or text that cannot be translated into numbers cause errors.
-
If there are fewer than four data points, or if the standard deviation of the sample equals zero, KURT returns the #DIV/0! error value.
-
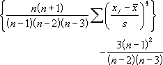
Kurtosis is defined as:
where s is the sample standard deviation.
Example
Copy the example data in the following table, and paste it in cell A1 of a new Excel worksheet. For formulas to show results, select them, press F2, and then press Enter. If you need to, you can adjust the column widths to see all the data.
|
Data |
||
|
3 |
||
|
4 |
||
|
5 |
||
|
2 |
||
|
3 |
||
|
4 |
||
|
5 |
||
|
6 |
||
|
4 |
||
|
7 |
||
|
Formula |
Description |
Result |
|
=KURT(A2:A11) |
Kurtosis of the data set above |
-0.151799637 |