Applies To
SharePoint Server Subscription Edition SharePoint Server 2019 SharePoint Server 2016 SharePoint Server 2013 SharePoint Server 2013 Enterprise SharePoint in Microsoft 365 SharePoint Foundation 2010 SharePoint Server 2010 SharePoint in Microsoft 365 Small Business Windows SharePoint Services 3.0

Returns the hypergeometric distribution. HYPGEOMDIST returns the probability of a given number of sample successes, given the sample size, population successes, and population size. Use HYPGEOMDIST for problems with a finite population, where each observation is either a success or a failure, and where each subset of a given size is chosen with equal likelihood.

Syntax

HYPGEOMDIST(sample_s,number_sample,population_s,number_population)

Sample_s     is the number of successes in the sample.

Number_sample     is the size of the sample.

Population_s     is the number of successes in the population.

Number_population     is the population size.

Remarks

  • All arguments are truncated to integers.

  • If any argument is nonnumeric, HYPGEOMDIST returns the #VALUE! error value.

  • If sample_s < 0 or sample_s is greater than the lesser of number_sample or population_s, HYPGEOMDIST returns the #NUM! error value.

  • If sample_s is less than the larger of 0 or (number_sample - number_population + population_s), HYPGEOMDIST returns the #NUM! error value.

  • If number_sample < 0 or number_sample > number_population, HYPGEOMDIST returns the #NUM! error value.

  • If population_s < 0 or population_s > number_population, HYPGEOMDIST returns the #NUM! error value.

  • If number_population < 0, HYPGEOMDIST returns the #NUM! error value.

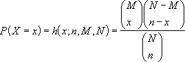
  • The equation for the hypergeometric distribution is:

    Equation

    where:

    x = sample_s

    n = number_sample

    M = population_s

    N = number_population

HYPGEOMDIST is used in sampling without replacement from a finite population.

Example

A sampler of chocolates contains 20 pieces. Eight pieces are caramels, and the remaining 12 are nuts. If a person selects 4 pieces at random, the following function returns the probability that exactly 1 piece is a caramel.

Sample_s

Number_sample

Population_s

Number_Population

Formula

Description (Result)

1

4

8

20

=HYPGEOMDIST([Sample_s],[Number_sample],[Population_s],[Number_Population])

Hypergeometric distribution for sample and population (0.363261)

Need more help?

Want more options?

Explore subscription benefits, browse training courses, learn how to secure your device, and more.